表紙を表示する

 問  題   解  答   解  説 

出題のねらいと解法のカギ



第1問

軽い棒でつながれた2つの物体の運動に関する問題で、慣性力に関する設問と、いくつかの保存則を求めさせる設問から成っている。設問に応じて、台車上の観測者ないし外部の観測者の視点に立って、どのような運動が行われているかをイメージできれば、それほど難しくはないはずだが、棒が出てきたことからトルクの問題と勘違いすると目も当てられない結果になる。Iが基本レベル、IIII(1) が標準レベル、III(2) がやや難問レベルになっている。


I. 「台車から振り子がつり下げられている」という形式なので少しわかりにくいかもしれないが、等加速度運動をする電車の中につり下げられたおもりの運動と同様に考えればよい。

 一定の加速度a で運動している台車上の観測者から見ると、質量m の物体には、-ma の慣性力(見かけの力)が働く。これは、重力と同じ形式で表されているので、重力加速度が、g から変化したものと解釈することができる。新たな(見かけ上の)重力加速度をg ' とすると、大きさは、

  g ' =(g 2a 21/2

向きは、下図のようになる。

figure

振り子振動の周期は、振り子の長さl と見かけの重力加速度g ' を使えば、公式より、

  figure   …(答)

となる。また、g ' の方向が見かけの鉛直方向を表すので、振り子振動の中心軸が(真の)鉛直方向に対してなす角度をφとすると、

  figure

という関係式が成り立つ。外部から見ると、運動は台車とおもりが共に静止した状態から始まるので、台車上の観測者から見ても、運動の開始直後は、振り子が鉛直方向に位置し、おもりの速度は0 になっている。したがって、これが振れが最大になる瞬間であり、振り子振動の中心軸(=g ' の方向)から測った角度φは、関係式

  figure    …(答)

を満たす。



II. 台車とおもりの運動を、外部で静止している観測者から見る場合を考える。

(1) 「台車+棒+おもり」を1つの物体と考える。この物体に外部から作用する力は、鉛直下向きの重力と、レールから台車に加わる鉛直上向きの垂直抗力だけである。したがって、この物体には水平方向の外力が作用していないので、重心運動における運動量の水平成分は保存されることになる。運動量は質量×速度の和なので、その水平成分の保存則は、

  MV + mv =一定

と表される。運動が始まる瞬間は、台車もおもりも静止しており、そのときの運動量の値は0 になるので、

  MV + mv =0

となる。

 なお、この式は、「台車+棒+おもり」の重心が静止していることを意味している。したがって、おもりが振り子運動をする間に、台車の方も、振動運動をすることになる(下図参照)。

figure

【別解】棒に加わる張力をS とすると、台車とおもりの運動方程式の水平成分は、それぞれ、

  figure

  figure

となる。ただし、d/dt は、時間に関する微分を表す。この2式を辺々加えあわせて積分すれば、

  MV + mv =一定

を得る。


(2) なめらかに運動する(摩擦が作用しない)という条件から、力学的エネルギーが保存することは明らかである。重力によるおもりの位置エネルギーは、初期状態を基準(=0)にとると、

  figure

と与えられるので、これと運動エネルギーの和が初期状態の値から変化しないという力学的エネルギーの保存則は、

  figure …(答)

と表される。


(3) 棒が伸び縮みしないということは、台車とおもりが棒の方向に近づいたり遠ざかったりしない、すなわち、両者の速度の棒方向成分が等しくなることを意味する。速度の成分は、下図をもとに求められる。

figure

式で表せば、

   figure   …(答)

となる。

【別解】棒の台車側の端点のx 座標をX 、おもり側の端点のx、y 座標をx、y ととすると、棒の長さがl となることを表す式は、

  figure

となる。両辺を時間で微分すると、

  figure

という式が得られる。ここで、

  figure

を使って変形すれば、上と同じ式を得る。



III. IIと同じ運動を、台車上から観測する場合を考える。このとき、台車の加速度をa とすると、おもりには、-ma という見かけの力(慣性力)が加わることになる。

(1) 静止している観測者から見ると、θ>0 のとき、台車は振動の中心より左側にあり、中心に引き戻されるような復元力を受けながら運動している。したがって、このときの台車の加速度は、水平方向右向き(+x 方向)となる。台車上の観測者から見たときの慣性力は、この加速度と逆向きなので、水平方向左向き(-x 方向)に作用する。

 このことからわかるように、台車上から観測したおもりの運動は、通常の単振り子(重力だけが作用する振り子)の場合とは異なって、水平方向の慣性力が中心軸に引き戻す向きに作用する場合の振り子運動となる。これは、復元力が強くなることを意味するので、周期は、単振り子の時よりも短くなる。


(2) 静止している観測者から見ると、おもりが最下点に来てθ=0 となったときにはおもりは水平方向の速度しか持たないので、u=0 となる。IIの解答より、このときの台車の水平速度Vとおもりの水平速度vは、次の関係式を満たす。

  figure

  figure

M = 2m とおいて、Vv について解くと、

  figure

  figure

を得る(複号は、運動の向きが左右いずれもあることから付けた)。台車上の観測者から見たおもりの速さ(台車に対するおもりの相対速度の大きさ)v ' は、

   figure   …(答)

となる。

 台車から見ると、おもりは、半径l の円運動をしている。おもりが最下点に来たとき、台車は外部の観測者から見て振動の中心にいるので、復元力は0 となり加速度も0 、台車上の観測者から見た場合の慣性力も0 になる。したがって、このときおもりは、重力mg と棒の張力S の作用によって速さv ' =(3gl1/2 の円運動をしていることになるので、中心方向の運動方程式は、

  figure

となる。これを解けば、棒の張力は、

  figure        …(答)

と求まる。



第2問 

 磁界が加わっている領域に敷かれたレールの上を導体棒がすべっていくというおなじみの設定を、3本目のレールを加えることによって少しひねってみた。誘導起電力を時間の関数として簡単に表すことができれば、後は、簡単な直流回路の問題に帰着させられるので、見通しよく式を立てる能力があるかどうかが鍵となる。


I. 導体棒Pのおいて、L1とL3にはさまれた部分(以下では、P1と呼ぼう)に生じる誘導起電力をE 1、L2とL3にはさまれた部分(P2)に生じる誘導起電力をE 2とする。題意の実験装置を回路図として表すと、次のようになる。

figure

 一般に、長さl の導体棒が速さv で磁束密度B の磁界中を磁界に垂直方向に運動するとき、誘起される誘導起電力の大きさE は、

  Ev Bl

で与えられる。この問題の場合、P1の長さl 1は、t =0 からt=T の間に、一定の割合で0 からl まで増えていくので、

  figure

と表される。同様に、P2の長さl 2

  figure

となる。P1に誘起される誘導起電力E 1、流れる電流i 1、磁界からi 1に作用する力F 1は、それぞれ公式を使って、

  figure

  figure

  figure

と求められる。P2に関する量は、この式で添え字を1から2に変えれば良い。

 電流計Aに電流が流れないという条件は、

  i 1i 2

となる。これに、上で得た式を代入すれば、

  figure

これをt について解けば、

  figure     …(答)

を得る。



II. Iで求めたl 1E 1i 1F 1、および、添え字を1から2に変えたものを利用して、計算すればよい。


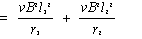
(1) Pを一定の速さで動かすには、磁界から電流に作用する力と逆向きで同じ大きさの力を加えなければならない。したがって、その大きさは、

  figure

   figure

   figure  …(答)

となる。


(2) 磁界から電流に作用する力は、一定の電流が流れている導体のすべての部分に等しく生じる。したがって、PとL3との接点の回りの力のモーメントを考える場合は、P1とP2の中点に、それぞれF 1F 2の大きさの外力を加えれば、モーメントをうち消すことができる(下図)。

figure

外力による力のモーメント(右回りを正とする)は、

  figure

となる。t = T/2 では、

  figure

となるので、力のモーメントは、

   figure     …(答)

である。



III. 抵抗r に電流i が流れているときに消費される電力は、i2r で与えられる。したがって、抵抗器r1で消費される電力P 1は、すでに求めてあるi 1の式を使って、

  figure

   figure

となる。同様に、抵抗器r2で消費される電力P 2は、

  figure

となる。これより、P 1P 2のグラフは、それぞれ解答欄に与えたようになる。



IV. 抵抗器r1と r2で発生する熱量は、t =0からT までの間の消費電力であり、P 1P 2のグラフの下の部分の面積に等しい。ここで、P 2のグラフをtT を軸として時間に関して反転させる(これは、P 2の式でt-T/2 をt で置き換える操作に相当する)と、P 1のグラフをr 1r 2倍したものと同じ形なる。したがって、グラフの面積も、

  r 2r 1    …(答)

になっている。

【別解】抵抗器r1t =0からT までに発生する熱量Q 1は、

  figure

   figure

   figure

と求められる。抵抗器r2で発生する熱量Q 2は、この式の添え字1を2に置き換えたものに等しいので、

  figure

となる。



第3問

現実の観測に利用されているVLBI(超長基線電波干渉法)を応用した問題で、実験装置が少しわかりにくいかもしれないが、設問内容は、波の干渉に関する標準レベルのものである。Iで説明された方法は、天文台間の距離の正確な計測のために、すでに実用化されている。また、IIではアンテナを移動するという設定にしたが、実際には、多数のアンテナを用意して、それぞれの間の干渉パターンをもとに天体の画像を計算する手法が開発されている。


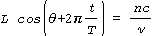
I. 十分に遠方の天体からやってくる電磁波は、平面波になっていると考えて良い。この場合、アンテナと天体を結ぶ直線に対して垂直な面の上で位相がそろっている。2つのアンテナA,Bに到達する電磁波の経路差ΔL は、AB と天体の方向のなす角度をΘとすると、下図より明らかなように、

  ΔL L cos Θ   …(1)

となる。

figure

 地球は、周期T (≒24時間)で西から東に自転しているので、Θは時間と共に増大する。問題の条件より、

  Θ=θのときt =0

なので、

  figure   …(2)

と表される。


(1) 2つの波が干渉によって強めあう条件は、経路差が波長λの整数倍になることなので、

  ΔL  = n λ (n = 0,1,2,…) …(3)

となる。ここで、波長λ、振動数ν、光速c の間には、

  λν=c        …(4)

という関係がある。(1)〜(4)をまとめて、

   figuren = 0,1,2,…)  …(答)

を得る。


(2) (1)の条件式を満たすtt nと書く。加法定理を使ってコサインを展開し、設問中の近似を使えば、

  figure

という関係式が成り立つ。t n が極大値をとる時刻なので、

  Δt  = |tn-tn+1|

となる。以上より、

  figure        …(答)

  figure    …(5)

を得る。



II. 天体Qからの電磁波が干渉して強めあう条件を考えれば良い。


(1) 天体Qが、ABに対してなす角度をΘ' とすると、QがPよりφだけ東にあることより、

  figure

と表される。これより、I Qが極大値をとる時刻は、I Pが極大値をとる時刻よりも、

   figure    …(答)

遅れることになる。題意の条件より、δtΔt より少し小さい程度の大きさである。これより、I PI Qのグラフは、次のようになる。

figure

(2) L を増していくと、δt は変化しないが、Δt は(5)に従って減少する。特に、

  δt = Δt      …(6)

になったとき、I PI Qの極大値どうし、極小値どうしが重なるため、I = I P + I Qの極大値と極小値の差ΔI が最大になる。さらにL を増やすと、再びI PI Qのピークがずれて、ΔI は小さくなる。設問の条件より、

  L = L 0

のとき(6)式が成り立つので、δtΔt の式を使って書き直せば、

  figure

  figure        …(答)

を得る。



©Nobuo YOSHIDA